2025년 공무원 봉급표 내년 공무원 봉급 인상률 3% 확정
내년도 공무원 보수가 3.0% 인상됩니다. 이는 8년 만의 최대폭 인상으로, 최근 소비자물가의 급격한 상승에 따른 공무원 실질임금 하락을 보완하기 위한 조치입니다. 기획재정부는 27일 발표한 ‘2025년도 예산안’에서 내년 국가공무원 보수 인상률을 전년(2.5%) 대비 0.5%포인트 올린 3.0%로 결정했다고 밝혔습니다. 이에 따라 내년도 국가공무원 인건비에는 총 46조6천억원이 투입될 예정입니다.

이번 인상은 2017년 이후 가장 높은 인상률이며, 최근 3년간의 실질임금 삭감 추세를 고려한 결정입니다.
내년 공무원 봉급 인상률 3% 배경
2021년부터 2023년까지의 소비자물가 상승률은 각각 2.5%, 5.1%, 3.6%로, 이 기간 동안의 공무원 보수 인상률(1.4%, 1.7%, 2.5%)을 크게 초과했습니다. 이러한 물가 상승률과 보수 인상률의 차이는 공무원 실질임금에 직접적인 영향을 미쳤고, 정부는 이를 개선하기 내년 공무원 봉급 인상률을 상향 조정한 것으로 보입니다.



하지만 원래 권고안은 5급이상은 2.5% 인상, 6급 이하는 3.3% 인상안에서 일괄 3% 인상으로 변경된 것은 말로는 MZ세대 공무원들이 떠나지 않게 공무원 임금 인상률을 늘렸다고 하지만, 실상은 스윗포티 꼰대들 월급만 더 인상시켜준 꼴이 됐습니다. 결정은 결국 고위 공무원들이 하는 것이니, 이 ㅅㄲ들은 젊은 하위직 공무원의 처우개선보다는 한푼이라도 지 목구멍에 처넣으려는 전형적인 레임덕 공무원의 표상을 보여준 행태입니다.
황희정 기획재정부 예산기준과장은 “최근 물가상승률 대비 보수 인상률이 낮았고, 민간과의 보수 격차가 커지고 있는 점도 고려했다”고 설명했습니다. 실제로 인사혁신처에 따르면, 올해 공무원 보수 수준은 민간기업 보수 평균의 82.8%에 그칠 것으로 추산되었습니다. 4년 전인 2020년에는 90.0%였던 점을 감안하면 격차가 7.2%포인트 더 벌어진 셈입니다. 이러한 격차 해소와 실질임금 보장을 위한 결정이 이번 보수 인상에 반영된 것으로 보입니다.


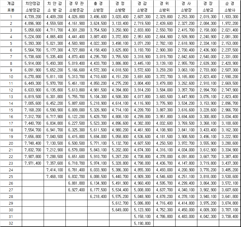
2025년 공무원 봉급표
2025년에는 공무원과 군인의 봉급이 3.0% 인상되며, 이는 최근 몇 년간 가장 큰 인상폭입니다. 이 조치는 최근 소비자물가 상승에 따른 공무원의 실질임금 하락을 보상하기 위한 것입니다. 이번 봉급 인상은 전년도 대비 0.5%포인트 상승한 것으로, 총 46조 6천억 원의 예산이 공무원 인건비에 투입됩니다.
내년 공무원 봉급 인상률은 3.0%로, 2017년 이후 처음으로 3%대를 기록했습니다. 공무원 보수 인상률은 최근 몇 년간 소비자물가 상승률을 밑돌았고, 이로 인해 실질임금이 하락하는 상황이 발생했습니다. 정부는 이 문제를 해결하기 위해 내년도 공무원 보수 인상률을 높였으며, 특히 7~9급 공무원에게는 더 높은 인상률이 적용될 예정입니다.
2025년 공무원 봉급표

- 1급 공무원: 4,498,600원에서 시작하여 7,592,100원까지 증가
- 2급 공무원: 4,049,900원에서 시작하여 6,929,100원까지 증가
- 3급 공무원: 3,653,800원에서 시작하여 6,408,500원까지 증가
- 4급 공무원: 3,131,600원에서 시작하여 5,812,500원까지 증가
- 5급 공무원: 2,798,500원에서 시작하여 5,312,500원까지 증가
- 6급 공무원: 2,308,700원에서 시작하여 4,734,100원까지 증가
- 7급 공무원: 2,112,100원에서 시작하여 4,062,300원까지 증가
- 8급 공무원: 1,970,800원에서 시작하여 3,664,600원까지 증가
- 9급 공무원: 1,933,300원에서 시작하여 3,573,300원까지 증가

2025년 군인 봉급표
군인의 경우에도 봉급이 3.0% 인상됩니다. 인상된 봉급표에 따르면, 주요 계급별로 다음과 같은 월봉을 받게 됩니다.

- 소장: 5,892,800원에서 시작하여 7,641,800원까지 증가
- 준장: 5,559,100원에서 시작하여 7,292,000원까지 증가
- 대령: 4,513,200원에서 시작하여 6,554,400원까지 증가
- 중령: 3,967,000원에서 시작하여 5,812,500원까지 증가
- 소령: 3,268,300원에서 시작하여 5,312,500원까지 증가
- 대위: 2,658,500원에서 시작하여 4,621,100원까지 증가
- 중위: 2,102,600원에서 시작하여 4,160,900원까지 증가
- 소위: 1,949,200원에서 시작하여 3,797,300원까지 증가
- 준위: 2,458,300원에서 시작하여 5,500,500원까지 증가
- 원사: 3,447,400원에서 시작하여 5,383,500원까지 증가
- 상사: 2,384,500원에서 시작하여 5,266,500원까지 증가
- 중사: 1,988,500원에서 시작하여 3,797,300원까지 증가
- 하사: 1,933,300원에서 시작하여 3,474,000원까지 증가


2025년 공무원과 군인 봉급 인상은 정부의 인플레이션 대응 및 공무원의 생활 안정을 도모하기 위한 중요한 조치로 볼 수 있습니다. 이번 인상은 공무원의 실질임금을 회복시키고, 민간 기업과의 보수 격차를 줄이기 위한 목적을 가지고 있습니다. 이는 또한 최근 몇 년간 공무원 보수 인상률이 물가 상승률에 미치지 못했던 문제를 해결하는데 기여할 것으로 보입니다.

직급별 보수 인상 계획
모든 공무원이 동일한 인상률을 적용받는 것은 아닙니다. 7급부터 9급까지의 낮은 직급에서는 상대적으로 더 높은 인상률이 적용될 계획입니다. 인사혁신처는 지난 7월 공무원보수위원회를 통해 내년도 보수 인상률을 5급 이상 직급에 대해서는 2.5%, 6급 이하 직급에 대해서는 3.3%로 권고한 바 있습니다. 특히, 올해 9급 공무원의 보수는 전체 인상률인 2.5%를 넘어서 6.0%가 적용되었습니다. 이러한 인상률의 차이는 각 직급의 업무 부담과 책임을 반영한 결과로 보입니다.

구체적인 직급별 인상률은 인사혁신처가 연말에 발표할 공무원봉급표를 통해 확정될 예정입니다. 이번 인상률 조정은 공무원들의 실질임금 개선뿐만 아니라 민간과의 보수 격차 해소를 목표로 하고 있으며, 공무원들이 보다 나은 근무 환경을 제공받을 수 있도록 하기 위한 노력이 반영된 결과입니다.
결론
2025년 공무원 보수 인상률이 3.0%로 결정된 것은 최근 물가 상승과 공무원 보수 격차 확대에 대응하기 위한 정부의 적극적인 조치로 볼 수 있습니다. 직급별 차등 인상률 적용은 공무원 보수의 형평성을 고려한 결정이며, 앞으로도 공무원들의 실질임금 개선과 민간과의 보수 격차 해소를 위한 정책적 노력이 지속될 것으로 기대됩니다.